点云法向量估计
点云法向量估计

点云法向量的估计(注意是估计,不是精确计算,事实上点云是对曲面的点采样,没有什么是可以精确计算的)在很多场景都会用到, 比如ICP配准,以及曲面重建。点云的法线计算大致有两种方法:
1、使用曲面重建方法,从点云数据中得到采样点对应的曲面,然后再用曲面模型计算其表面的法线。
2、直接使用近似值直接从点云数据集推断出曲面法线。
这里主要是讲解第二种方法,也即PCA主成分分析点云法向量估计:
基本思想:选取点云中每一点,对其进行临近点的搜索,将包含该点的临近点拟合成曲面,对曲面中的点进行PCA主成分分析, 查找特征值最小的对应的特征向量,该特征向量即为该拟合曲面的法向量。 基于PCA的点云法向量估计,其实是从最小二乘法推导出来的。假设我们要估计某一点的法向量,我们需要通过利用该点的近邻点估计出一个平面, 然后我们就能计算出该点的法向量。或者可以这么说,通过最小化一个目标函数(要求的参数为法向量), 使得该点与其每个近邻点所构成的向量与法向量的点乘为0,也就是垂直:

正常情况下,我们可以将点c看成是某一领域中所有点的中心点:

同时,

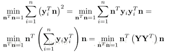
这样,优化目标函数变为:

我们进一步对目标函数进行推导:

上面的优化目标函数等于:


